Esplorando un antico sentiero:
teoremi sulla somma di potenze di interi successivi.

Parte seconda aggiornata a ottobre 2019

di Giorgio Pietrocola

giorgio.pietrocola[at]gmail.com


Nel 2008 avevo pubblicato  quello che ora diventa la prima parte del racconto relativo alle mie personali ricerche sul problema dei polinomi calcolanti somme di potenze. In quella occasione dimostrai anche,  con i teoremi 1A e 1B, ciò che avevo scoperto cioè che la matrice dei coefficienti dei polinomi calcolanti le somme di potenze di interi successivi era l'inversa di matrici legate al famoso triangolo di Tartaglia (conosciuto, fuori dall'Italia, come triangolo di Pascal). Chiesi aiuto anche ai lettori  per trovare se quegli argomenti erano stati sviluppati da altri autori, ma per i successivi nove anni, non ci furono sostanziali novità e dimenticai o quasi il problema.
Solo nel 2017 mi interessai di nuovo dell'argomento, cercando anche in rete se  nel frattempo era stato pubblicato qualcosa di nuovo in merito.  Decisi di rileggere ciò che avevo scritto nove anni prima. Devo dire che faticai un po’ a capire le mie stesse argomentazioni  dimenticate col passare del tempo. Questo perché, per potermi esprimere adeguatamente, avevo premesso molte definizioni che poi però non era facilissimo tenere a mente per seguire il ragionamento dimostrativo. Mi proposi allora di ripensare il tutto e di cercare dimostrazioni didatticamente più accessibili. Contemporaneamente decisi anche di cominciare a sviluppare altre conseguenze di quelle mie scoperte. Tradizionalmente i numeri di Bernoulli vengono definiti per via analitica partendo dagli sviluppi in serie della funzione generatrice, io invece ho voluto provare a definirli partendo dalle mie scoperte. Ho quindi proseguito su questa strada cercando di dedurre dalla mia definizione le proprietà dei numeri bernoulliani. Alcune, come la tradizionale definizione ricorsiva, sono state immediate conseguenze mentre altre, come la dimostrazione dell’annullarsi alternato dei numeri della sequenza bernoulliana,  sono state più complicate da dimostrare. La maggior difficoltà l'ho incontrata nella dimostrazione della formula detta di Faulhaber, ma rivelata il secolo successivo da Bernoulli e dimostrata solo dopo un altro secolo, per via analitica, da Jacobi. Strada facendo ho avuto il piacere di scoprire molte altre cose che ho riportato e organizzato in un trattato che ho pubblicato nel mio sito. Desiderando far conoscere alcuni dei risultati a un pubblico più vasto,  decisi anche di tradurre alcuni di questi in inglese in modo da poter allargare anche la possibilità di riuscire ad avere informazioni su eventuali ricerche altrui. Oltre a pubblicare su www.pietrocola.eu, pubblicai questi risultati su Wikipedia, anche in lingua inglese, citando come fonte Maecla e il mio stesso sito.  Il sistema ha funzionato perché i testi sono stati accettati dai wikipediani e in seguito fui contattato da un matematico inglese, Nigel Derby, che li aveva letti e se ne era servito  citandoli più volte in un suo articolo che verrà poi  pubblicato su Mathematical Gazette. Durante questa fase di approfondimento  ho anche finalmente scoperto chi mi aveva preceduto in quella mia sorprendente scoperta fatta  nei primi anni ‘90. Si tratta del biologo matematico A.W.F Edwards che nel 1982 scrisse un articolo su Mathematical Gazette in cui arrivava all' inversione della matrice  tratta dal noto triangolo aritmetico partendo da un'identità con cui Blaise Pascal nel 1634 aveva risolto ricorsivamente il problema dei polinomi per somme di potenze di interi successivi. Dello stesso autore ho letto quanto mi risulta abbia pubblicato su questo argomento, un successivo articolo del 1986 e una sua monografia sul triangolo di Tartaglia. Da quanto visto non  mi sembra che abbia sviluppato le conseguenze della sua scoperta, come ad esempio la formula per ricavare i numeri di Bernoulli dal triangolo di Tartaglia. Tuttora non sono in grado di sapere se altri, prima di me, siano arrivati agli stessi risultati. C’è una grande quantità di pubblicazioni sull’argomento e mi pare che sia difficile, anche per matematici non dilettanti, trovare risposta definitiva alla questione. Tuttavia, comunque stiano le cose, sicuramente questi risultati prima che li diffondessi erano poco conosciuti tanto che nel dicembre 2018 viene pubblicato da Christine Taylor un articolo di teoria dei numeri citando il mio lavoro disponibile in rete dal titolo "Faulhaber Problem Revisited; Alternate Methods for Deriving the Bernoulli Numbers".

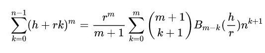
Durante questo studio intensivo degli ultimi anni ho particolarmente curato l'aspetto didattico. Le dimostrazioni dei miei teoremi sono diventate così via via più semplici. Ora , individuato il giusto punto di vista , messe a fuoco idee potenti e introdotti strumenti adeguati, tutto mi appare di una semplicità disarmante. La chiave per ottenere questi progressi  sono stati, da una parte, l'introduzione di vettori le cui componenti sono le potenze di interi successivi di una stessa base, dall'altra la determinazione delle relazioni tra questi vettori e le matrici  legate al triangolo di Tartaglia ottenute in modo induttivo partendo dallo sviluppo del binomio di Newton. Ecco quindi la dimostrazione del teorema 1A e teorema 1B nella loro ultima versione .  Nel mio scritto mostro anche come da questi si arrivi alla loro generalizzazione. Gradualmente, attraverso tappe successive, questi risultati mi hanno portato a generalizzare la  formula di Faulhaber fino  a estendenderla a potenze la cui base può essere una qualsiasi  progressione aritmetica:
dove Bi(x) sono i polinomi di Bernoulli. Nel caso particolare r=1, h=0 (oppure h=1) si ottengono le ordinarie formule dette di Faulhaber.

Ho anche implementato questo risultato in un foglio di calcolo che determina automaticamente i coefficienti del polinomio una volta fissato l'esponente intero non negativo e i termini della progressione aritmetica: primo termine h e ragione r (scaricabile qui).   

Nell'aprile 2019 ho raccontato la storia selle mie scoperte a Fontecchio (AQ) con una relazione presentata al 5° Simposio Mat^Nat sulla bellezza della matematica. Successivamente, nel 6° Simposio Mat^Nat, tenutosi nello stesso luogo nel mese di settembre 2019, ho presentato una relazione in cui esponevo i principali risultati acquisiti proponendo un percorso didattico per alunni di scuola media superiore.

Roma,14.10.2019   Giorgio Pietrocola

 

Riepilogo dei principali collegamenti :

Sui polinomi per somme di potenze di interi successivi (pdf)
In questo trattato, partendo dalle matrici derivate dal triangolo di Tartaglia si dimostrano vari teoremi fino ad arrivare alle proprietà dei numeri di Bernoulli, ai polinomi di Bernoulli e alla famosa formula detta di Faulhaber che viene anche generalizzata a progressioni aritmetiche di ragione qualsiasi inizianti da qualsivoglia numero

Teoremi gemelli e loro generalizzazione (pdf)
Proposta didattica del problema per alunni di scuola media superiore che hanno in programma lo studio delle matrici. Dai teoremi gemelli (1A,1B) sulle matrici ricavabili induttivamente dal triangolo di Tartaglia alla soluzione generale del problema delle somme di interi successivi

Generalizzazione formula di Faulhaber (xlsx)
Foglio di calcolo per determinare i polinomi per le somme di interi successivi attraverso operazioni su matrici

On polynomials for the calculation of sums of powers of successive integers and Bernoulli numbers deduced from the Pascal’s triangle
Articolo citato in "Faulhaber's formula" (en-wp)
Articoli e libri
di A.W.F. Edwards sull'argomento
Menzioni in articoli di teoria dei numeri
La formula per ricavare i numeri di Bernoulli dal triangolo di Tartaglia
5° Simposio Mat^Nat
Svoltosi a Fontecchio (AQ) 12-13-14 Aprile 2019
6° Simposio Mat^Nat
Svoltosi a Fontecchio (AQ) 12-13-14-15 Settembre 2019